Radicals are mathematical expressions that involve square roots, cube roots, or higher order roots. Adding and subtracting radicals are essential skills in algebra and calculus, as they help simplify complex expressions and solve equations.
Students often struggle with radicals because of their unconventional nature, but with practice and the right resources, they can master these operations and improve their problem-solving abilities.
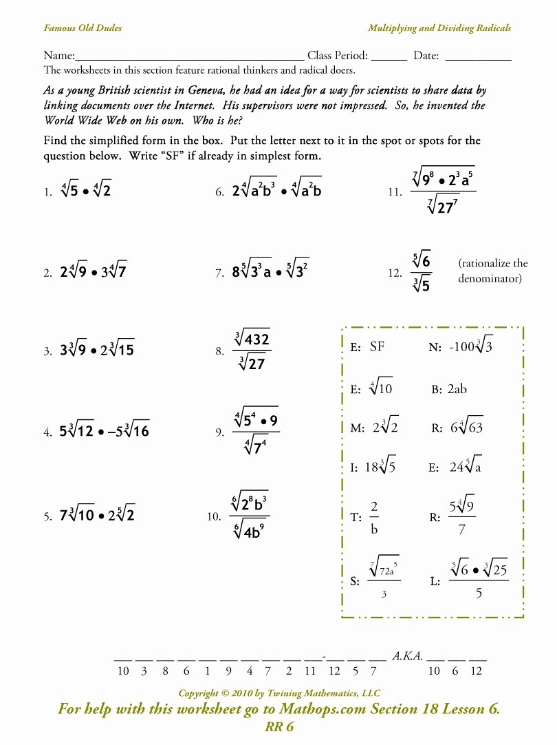
Adding Subtracting Radicals Worksheet
A adding subtracting radicals worksheet is a valuable tool for students to practice and reinforce their understanding of these operations. These worksheets typically contain a variety of problems that require students to add and subtract radicals of different degrees and coefficients.
By working through these problems, students can improve their skills in simplifying radicals, combining like terms, and applying the rules of exponents. This hands-on practice helps solidify their understanding of the concepts and prepares them for more advanced topics in mathematics.
Additionally, adding subtracting radicals worksheets often include word problems that require students to apply their knowledge in real-life scenarios. This helps students see the practical applications of radicals and reinforces the importance of mastering these operations.
Overall, adding subtracting radicals worksheets are a valuable resource for students to improve their mathematical skills and build confidence in their abilities. With consistent practice and dedication, students can overcome their challenges with radicals and succeed in their math courses.
In conclusion, adding and subtracting radicals are fundamental operations in mathematics that require practice and understanding. A adding subtracting radicals worksheet is an effective tool for students to enhance their skills and master these operations. By utilizing these worksheets and persevering through challenging problems, students can improve their problem-solving abilities and achieve success in their math studies.
