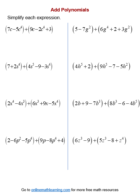
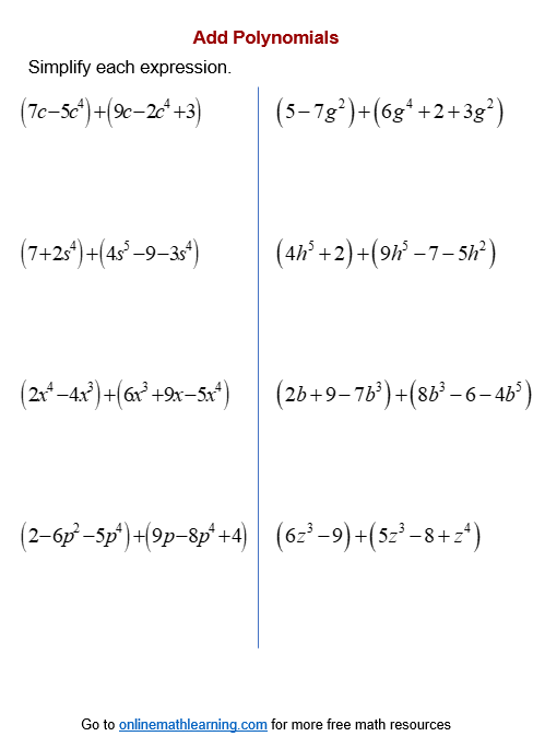
Polynomials are mathematical expressions that consist of variables, coefficients, and exponents. Adding polynomials involves combining like terms to simplify the expression. It is an important skill in algebra and is often used in various mathematical calculations.
One way to practice and master the skill of adding polynomials is through worksheets. These worksheets provide a structured way to practice addition of polynomials and reinforce the concepts learned in class. They usually contain a series of problems that vary in difficulty, allowing students to gradually build their skills.
Benefits of Using Addition of Polynomials Worksheet
1. Practice Makes Perfect: By working through a variety of problems on a worksheet, students can strengthen their understanding of adding polynomials and improve their problem-solving skills.
2. Self-Assessment: Worksheets provide an opportunity for students to check their own work and identify any mistakes. This self-assessment helps students to learn from their errors and improve their accuracy.
3. Reinforcement of Concepts: Working on addition of polynomials worksheets reinforces the concepts learned in class. It helps students to retain the information and apply it to different types of problems.
4. Increased Confidence: As students successfully complete problems on the worksheet, they gain confidence in their abilities and feel more prepared for future math challenges.
5. Flexibility: Worksheets can be completed at the student’s own pace and can be used as a resource for extra practice outside of the classroom.
In conclusion, addition of polynomials worksheets are a valuable tool for students to practice and improve their skills in algebra. By regularly working through these worksheets, students can enhance their understanding of adding polynomials and build confidence in their mathematical abilities.
