Charles’s Law is a fundamental principle in the field of thermodynamics that describes how gases tend to expand when heated. This law is named after Jacques Charles, a French scientist who first formulated it in the 18th century. Understanding Charles’s Law is essential for students studying chemistry, physics, and engineering.
One way to practice and reinforce the concepts of Charles’s Law is through the use of worksheets. A Charles Laws worksheet typically includes problems and questions related to the law, requiring students to apply their knowledge and problem-solving skills. These worksheets can be valuable tools for both teachers and students in the learning process.
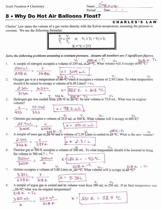
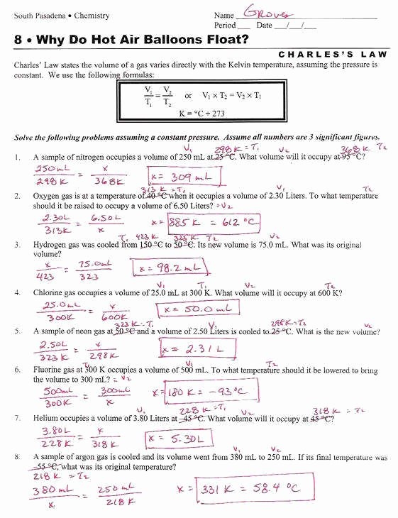
Charles Laws Worksheet
When working on a Charles Laws worksheet, students may encounter various types of problems that involve calculating the volume, temperature, and pressure of gases. They may need to use the formula V1/T1 = V2/T2, where V represents volume and T represents temperature. By solving these problems, students can gain a deeper understanding of how gases behave under different conditions.
In addition to numerical problems, Charles Laws worksheets may also include conceptual questions that require students to think critically about the principles behind the law. These questions can help students develop their analytical and problem-solving skills, as well as their ability to apply theoretical knowledge to real-world situations.
Using Charles Laws worksheets can also help students prepare for exams and assessments by providing them with opportunities to practice and review key concepts. By working through a variety of problems and questions, students can build their confidence and proficiency in applying Charles’s Law to different scenarios.
Overall, the Charles Laws worksheet serves as a valuable tool for reinforcing the principles of Charles’s Law and helping students deepen their understanding of gas behavior. Whether used in the classroom or for independent study, these worksheets can be instrumental in enhancing students’ mastery of thermodynamic concepts.
In conclusion, the Charles Laws worksheet is a useful resource for students seeking to strengthen their knowledge of gas laws and thermodynamics. By engaging with the problems and questions included in these worksheets, students can improve their problem-solving skills and gain a deeper understanding of the principles underlying Charles’s Law.
