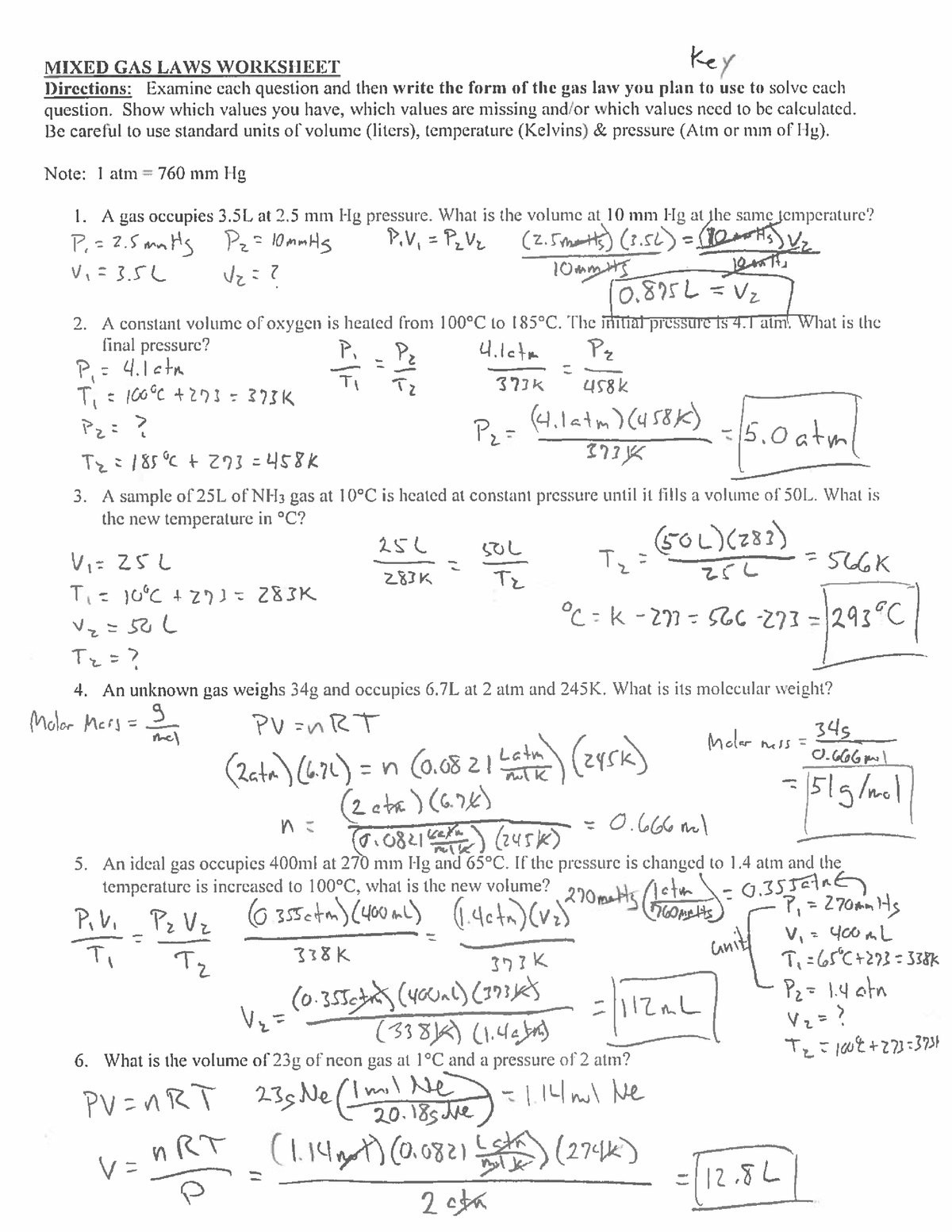
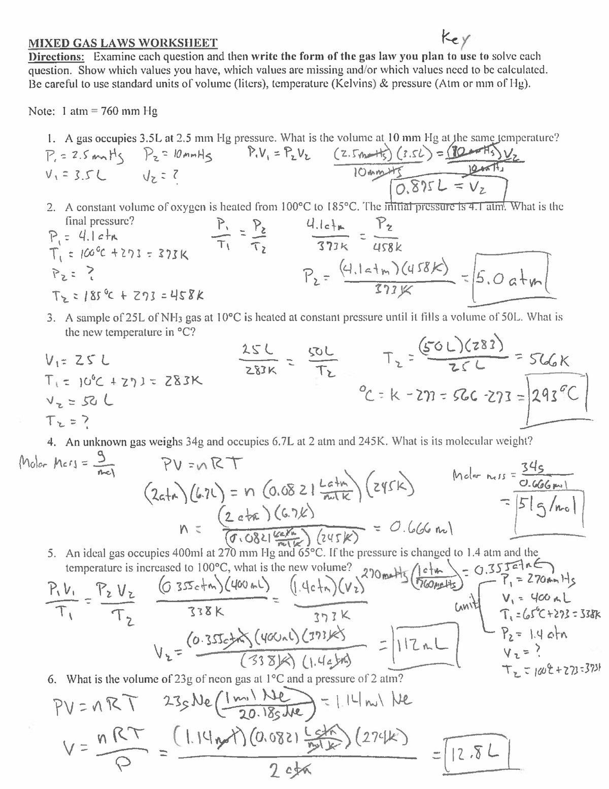
Combined Gas Law Worksheet Answers
The combined gas law is a combination of Boyle’s Law, Charles’s Law, and Gay-Lussac’s Law. It describes the relationship between pressure, volume, and temperature of a gas. When working with the combined gas law, it is essential to understand how these variables interact with each other.
Gas laws are crucial in understanding the behavior of gases in various conditions. The combined gas law formula is expressed as: (P1 * V1) / T1 = (P2 * V2) / T2, where P represents pressure, V represents volume, and T represents temperature. By manipulating this formula, you can solve for any of the variables given the others.
Let’s consider a sample combined gas law worksheet question: If a gas has a volume of 2.0 L, a pressure of 1.0 atm, and a temperature of 300 K, what will be its volume if the pressure is increased to 2.0 atm and the temperature is kept constant? By applying the combined gas law formula and plugging in the values, we can calculate the new volume of the gas.
Using the formula (P1 * V1) / T1 = (P2 * V2) / T2, we can solve for V2. Plugging in the values, we get (1.0 atm * 2.0 L) / 300 K = (2.0 atm * V2) / 300 K. Simplifying the equation, we find that V2 = 1.0 L. Therefore, the volume of the gas will be 1.0 L when the pressure is increased to 2.0 atm.
It is essential to practice solving various combined gas law problems to strengthen your understanding of gas behavior. By working through different scenarios and applying the combined gas law formula, you can master the concept and confidently solve any related questions. Remember to pay attention to units and ensure consistency throughout your calculations.
In conclusion, the combined gas law worksheet answers provide a valuable resource for practicing and mastering gas laws. By familiarizing yourself with the formula and solving multiple problems, you can enhance your understanding of pressure, volume, and temperature relationships in gases. Keep practicing and challenging yourself with different scenarios to improve your problem-solving skills in this area of chemistry.



