Quadratic equations are a fundamental concept in algebra, and one of the methods used to solve them is completing the square. This technique involves transforming a quadratic equation into a perfect square trinomial, making it easier to solve for the variable. Completing the square worksheet is a helpful tool for students to practice this method and improve their understanding of quadratic equations.
By using the completing the square method, students can learn how to solve quadratic equations in a systematic and logical way. This method not only helps in finding the solutions to the equation but also provides a deeper insight into the properties of quadratic functions. Practicing with a completing the square worksheet allows students to sharpen their problem-solving skills and build confidence in tackling more complex quadratic equations.
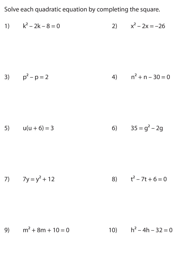
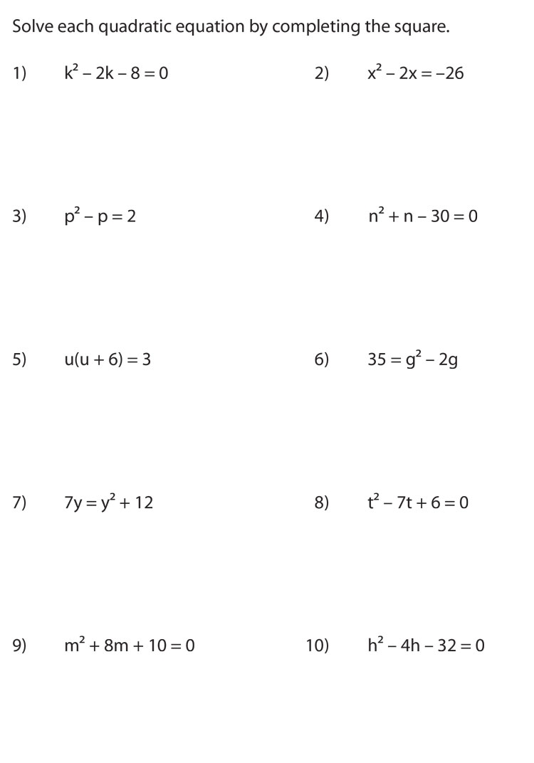
Solve Quadratics by Completing the Square Worksheet
When working on a completing the square worksheet, students are presented with a series of quadratic equations that need to be solved using the completing the square method. The worksheet typically includes step-by-step instructions on how to complete the square for each equation, guiding students through the process of transforming the equation into a perfect square trinomial.
One of the key benefits of using a completing the square worksheet is that it allows students to practice the method repeatedly until they master it. By working through various examples and exercises, students can enhance their problem-solving skills and develop a deeper understanding of quadratic equations. The worksheet also provides an opportunity for students to identify common patterns and strategies for solving quadratic equations using the completing the square method.
Furthermore, completing the square worksheets often include challenging problems that require critical thinking and creativity to solve. These problems can help students develop their problem-solving abilities and think outside the box when approaching quadratic equations. By engaging with a completing the square worksheet, students can improve their algebraic skills and gain confidence in their ability to solve complex mathematical problems.
In conclusion, the completing the square worksheet is a valuable resource for students to practice and master the technique of solving quadratic equations using the completing the square method. By working through a variety of problems and exercises, students can improve their problem-solving skills, deepen their understanding of quadratic equations, and build confidence in their mathematical abilities. With consistent practice and dedication, students can excel in solving quadratics by completing the square.
