The Pythagorean Theorem Worksheet
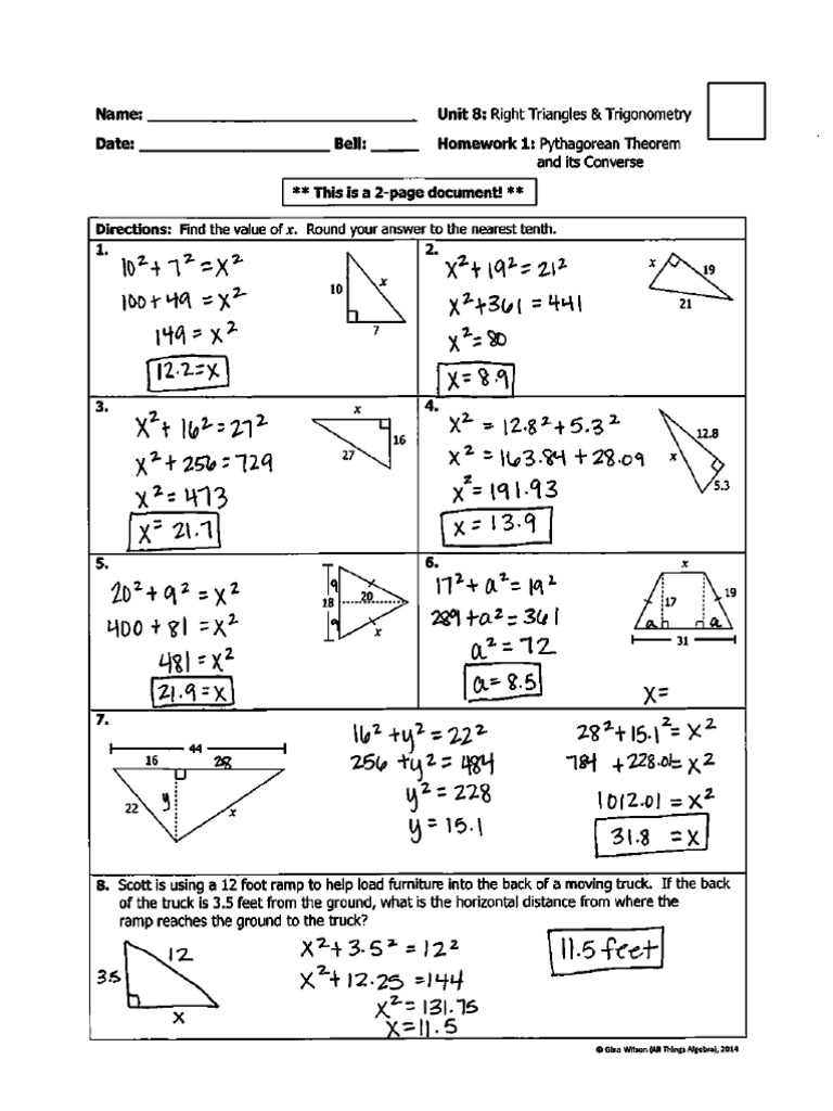
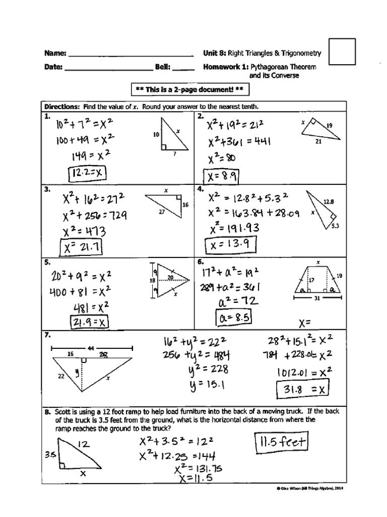
The Pythagorean Theorem is a fundamental concept in geometry that relates to the sides of a right-angled triangle. It states that the square of the hypotenuse (the side opposite the right angle) is equal to the sum of the squares of the other two sides. This theorem is commonly used in various mathematical and real-world applications.
To help students understand and practice applying the Pythagorean Theorem, teachers often provide them with worksheets. These worksheets typically include a variety of problems involving right triangles where students need to find missing side lengths using the theorem. They are a valuable tool for reinforcing the concept and improving problem-solving skills.
When completing a Pythagorean Theorem worksheet, students are required to identify the hypotenuse and the other two sides of the triangle. They then apply the theorem by squaring the lengths of the two shorter sides, adding them together, and taking the square root of the result to find the length of the hypotenuse. This process helps students grasp the relationship between the sides of a right triangle and strengthens their understanding of the theorem.
The worksheet may also include word problems that require students to apply the Pythagorean Theorem in real-world scenarios. These problems challenge students to think critically and apply their knowledge of the theorem to solve practical problems involving distances, heights, or lengths. It enhances their problem-solving skills and demonstrates the relevance of the theorem in various contexts.
By completing a Pythagorean Theorem worksheet, students can improve their understanding of the theorem, enhance their problem-solving abilities, and gain confidence in applying mathematical concepts to real-world situations. These worksheets provide valuable practice and reinforcement, helping students master the Pythagorean Theorem and its applications.
In conclusion, the Pythagorean Theorem worksheet is a valuable educational tool that helps students practice applying the theorem and solving problems involving right triangles. By working through these worksheets, students can strengthen their understanding of the theorem, improve their problem-solving skills, and see the practical applications of geometry in everyday life.



