Trigonometric equations are mathematical expressions that involve trigonometric functions like sine, cosine, and tangent. These equations are commonly used in various fields such as physics, engineering, and mathematics to solve problems involving angles and triangles.
Working on trig equations can be challenging for students due to the complex nature of trigonometric functions. However, with practice and understanding of the basic principles, students can master solving trig equations effectively.
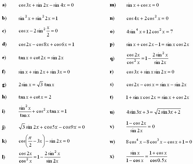
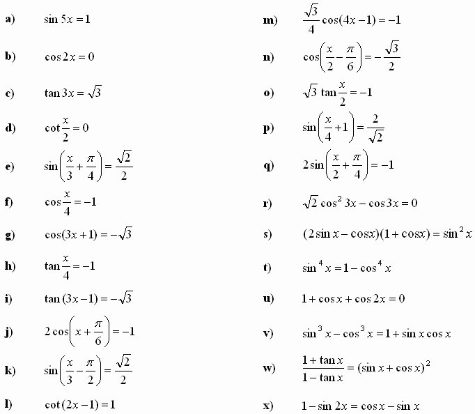
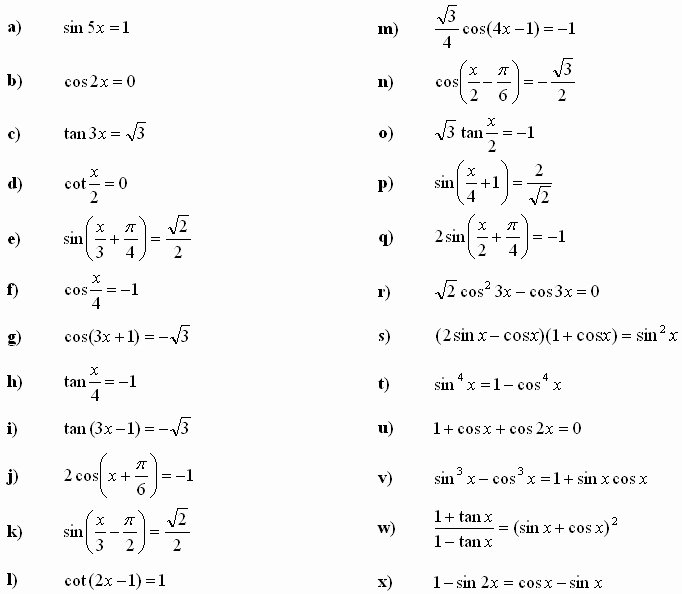
One way to practice solving trig equations is by using worksheets. Trig equations worksheets provide a structured approach to practicing and mastering trigonometric equations. These worksheets typically contain a variety of problems ranging from basic to advanced levels, allowing students to gradually build their skills and confidence in solving trig equations.
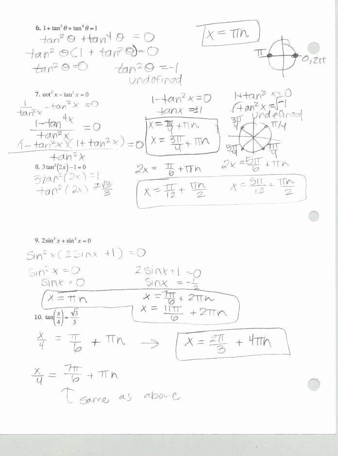
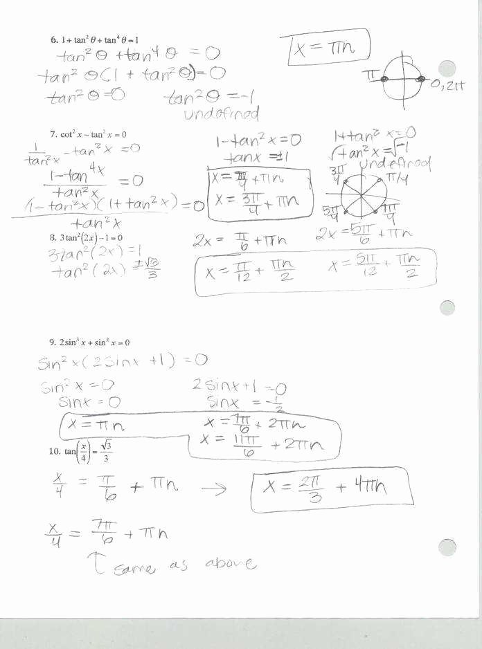
When working on a trig equations worksheet, students are required to apply trigonometric identities, properties, and formulas to solve the given equations. This process involves manipulating the equations, simplifying expressions, and using algebraic techniques to find the solutions for the variables.
Trig equations worksheets also help students develop critical thinking and problem-solving skills. By working through different types of trigonometric equations, students learn to analyze and apply various strategies to arrive at the correct solutions. This not only enhances their mathematical abilities but also improves their overall problem-solving skills.
In addition to practicing trig equations, worksheets also provide an opportunity for students to identify and correct mistakes. By reviewing their answers and understanding where they went wrong, students can learn from their errors and improve their problem-solving approach in the future.
Overall, trig equations worksheets are valuable tools for students to enhance their understanding of trigonometric functions and improve their problem-solving skills. By consistently practicing with these worksheets, students can build a strong foundation in solving trig equations and excel in their mathematics studies.
