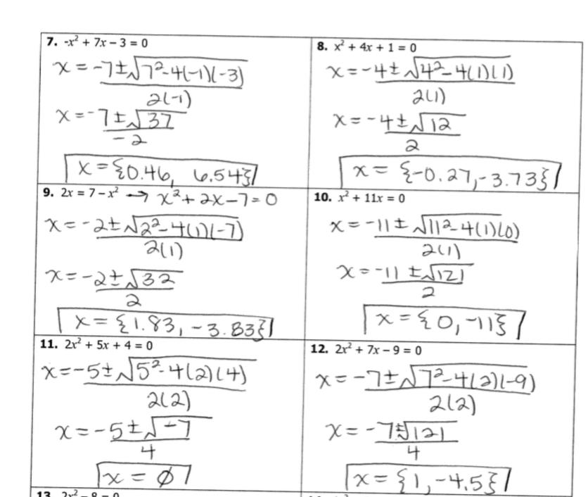
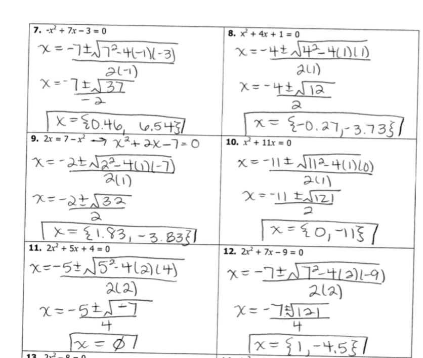
Quadratic equations can be tricky to solve, but with the help of the quadratic formula, it becomes much easier. A quadratic formula worksheet is a useful tool for students to practice solving these types of equations and gain a better understanding of the process. By working through various problems on the worksheet, students can improve their problem-solving skills and build confidence in their ability to solve quadratic equations.
Using a quadratic formula worksheet allows students to practice applying the formula to different types of quadratic equations. This hands-on practice helps reinforce the steps involved in solving these equations and allows students to see how the formula can be used in a variety of scenarios. By working through multiple problems on the worksheet, students can build fluency in using the quadratic formula and develop a deeper understanding of how it works.
One of the key benefits of using a quadratic formula worksheet is that it provides immediate feedback to students. As they work through the problems, they can check their answers against the solutions provided on the worksheet. This instant feedback allows students to identify any mistakes they may have made and correct them right away. By learning from their errors, students can improve their problem-solving skills and become more proficient at solving quadratic equations.
Additionally, working through a quadratic formula worksheet helps students develop critical thinking skills. As they analyze each problem and determine the appropriate steps to solve it, students are building their ability to think logically and strategically. This type of problem-solving skill is valuable not only in math but in many other areas of life as well. By practicing with the quadratic formula worksheet, students can strengthen their critical thinking abilities and become better problem solvers overall.
In conclusion, using a quadratic formula worksheet is a valuable tool for students to practice solving quadratic equations and improve their problem-solving skills. By working through various problems on the worksheet, students can gain fluency in using the quadratic formula and develop a deeper understanding of how it works. The immediate feedback provided by the worksheet allows students to learn from their mistakes and improve their skills. Overall, using a quadratic formula worksheet is a great way for students to enhance their math abilities and become more confident in their ability to solve quadratic equations.
